Question ID: #1025
Let the point $P$ of the focal chord $PQ$ of the parabola $y^{2}=16x$ be $(1, 4)$. If the focus of the parabola divides the chord $PQ$ in the ratio $m:n$, where $\gcd(m,n)=1$, then $m^{2}+n^{2}$ is equal to:
- (1) $17$
- (2) $10$
- (3) $37$
- (4) $26$
Solution:

Equation of the parabola: $y^2 = 16x$
Comparing with the standard form $y^2 = 4ax$:
$$4a = 16 \Rightarrow a = 4$$
The coordinates of the focus $S$ are $(a, 0)$.
$$S = (4, 0)$$
Let the point $P(1, 4)$ be represented by the parametric coordinates $(at_1^2, 2at_1)$.
Equating the y-coordinates:
$$2at_1 = 4$$
$$2(4)t_1 = 4$$
$$8t_1 = 4 \Rightarrow t_1 = \frac{1}{2}$$
For a focal chord $PQ$ with parameters $t_1$ and $t_2$, the relation is:
$$t_1t_2 = -1$$
$$\left(\frac{1}{2}\right)t_2 = -1 \Rightarrow t_2 = -2$$
The coordinates of the other end $Q$ of the focal chord are $(at_2^2, 2at_2)$:
$$Q = (4(-2)^2, 2(4)(-2))$$
$$Q = (16, -16)$$
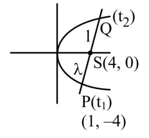
Let the focus $S(4, 0)$ divide the focal chord joining $P(1, 4)$ and $Q(16, -16)$ internally in the ratio $\lambda:1$.
Using the section formula for the x-coordinate:
$$x = \frac{m_1x_2 + m_2x_1}{m_1 + m_2}$$
$$4 = \frac{\lambda(16) + 1(1)}{\lambda + 1}$$
$$4(\lambda + 1) = 16\lambda + 1$$
$$4\lambda + 4 = 16\lambda + 1$$
$$12\lambda = 3$$
$$\lambda = \frac{3}{12} = \frac{1}{4}$$
The ratio $m:n$ is $1:4$. Since $\gcd(1, 4) = 1$, we have $m = 1$ and $n = 4$.
Calculate $m^2 + n^2$:
$$m^2 + n^2 = (1)^2 + (4)^2$$
$$m^2 + n^2 = 1 + 16 = 17$$
Ans. (1)
Was this solution helpful?
YesNo